This problem investigates the concept of a derivative from the geometric perspective of limiting secant lines going to a tangent line. It also allows you to explore the rules of differentiation using Maple.
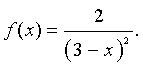
a. Consider the function

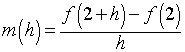
We want to investigate the derivative of f(x) at x = 2 by observing secant lines that pass through the points (2, f(2)) and (2 + h, f(2 + h)) for different values of h. The slope of the secant line is given by

and this line always passes through the point (2, f(2)). Find the equations of the 4 secant lines (in slope-intercept form) using h = 0.5, 0.2, 0.1, and 0.05. Use Excel to graph f(x) and the 4 secant lines for x in the interval [1, 2.95]. Limit the range, so that y is in the interval [-10, 20].
b. Find the general formula for the slope of the secant line through x = 2 and x = 2 + h. The slope of the tangent line is found by taking the slope of the secant line and letting h tend toward zero. This becomes the derivative of f(x) at x = 2. Find the derivative of f(x), f '(x), at x = 2. Find the equation of the tangent line at x = 2, then use Maple graph f(x) and the tangent line for x in the interval [0,3]. (Use the same limits on the range as in Part a.)
c. Differentiate
the following functions using Maple. You are just about to learn a collection
of differentiation rules, so you should be looking for patterns to help you
in the future as we learn more about derivatives.
|
i.
f(x) = x2 + 3x -5
|
ii.
f(x) = (x2 + 3x -5)4
|
|
iii.
f(x) = e-3x
|
iv. f(x)
=
ln(x+4)
|