|
|
Math 121 - Calculus for Biology I |
|
|---|---|---|
|
|
San Diego State University -- This page last updated 11-May-01 |
|
Below we present several examples to demonstrate the product rule and further our understanding of the behavior of discrete dynamical models. There is also an example showing the use of the derivative to find critical points of a rational function.
Differentiation - Quotient Rule
Below are two functions for using the rules of differentiation. The second function relates to the continuous version of the logistic growth model.
Example 1: Differentiate the following functions:

Solution: The quotient rule is applied to each of these functions.


Example 2: Consider the function:

Differentiate this function. Find all intercepts, asymptotes, and extrema. Graph the function.
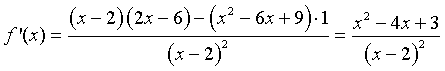
Solution: The quotient rule for differentiation is applied to f(x) yielding

The y-intercept is given by y = f(0) = -9/2. The x-intercept is found by solving f(x) = 0. This is solved by setting the numerator equal to zero, but
which gives the x-intercept as x = 3.
The vertical asymptotes are found finding when the denominator is zero, so a vertical asymptote occurs at x = 2. There are no horizontal asymptotes as the power of the numerator exceeds the power of the denominator.
The critical points are found by setting the derivative equal to zero, which again requires setting the numerator equal to zero. Thus,
Thus, the critical points are xc = 1 and xc = 3. Evaluating the function f(x) at these critical points, and we find a local maximum at (1, -4) and a local minimum at (3, 0). A graph of this function is seen below.

Hassell's Model for Population Growth
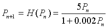
Example 3: Suppose that a population of insects is measured weekly and appears to follow Hassell's model given by:

Find the equilibria for this model and determine the behavior of the population near the equilibria. Also, start with an initial population of P0 = 500, and simulate this model for 10 weeks.
Solution: To find the equilibria, we let Pe = Pn = Pn+1 in the discrete dynamical model above. The result is given by

Thus, either Pe = 0 or 0.002Pe = 4, which is equivalent to Pe = 2000.
To analyze the behavior near the equilibria, we must first differentiate H(P), which gives

Since H '(0) = 5 > 1, solutions of the model near the zero equilibrium grow monotonically away from 0. Thus, the zero equilibrium is unstable. At Pe = 2000, we find that H '(2000) = 5/(1 + 4)2 = 1/5 < 1. Thus, this equilibrium is stable with all solutions monotonically approaching the equilibrium.
The simulation below, starting with P0 = 500, shows this behavior.

Model for Cellular Division with Inhibition
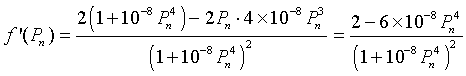
Example 4: Consider the mitotic model given by the equation

Find the equilibria for this model and determine the behavior of the population near the equilibria. Also, start with an initial population of P0 = 10, and simulate this model for 20 mitotic divisions.
Solution: To find the equilibria, we let Pe = Pn = Pn+1 in the discrete dynamical model above. We find that

Thus, either Pe = 0 or Pe = 100, which is what is predicted from the lecture notes.
To analyze the behavior near the equilibria, we differentiate f(P), which gives

Since f '(0) = 2 > 1, solutions of the model near the zero equilibrium are unstable and grow monotonically away from 0. At Pe = 100, we see that f '(100) = -4/(1 + 1)2 = -1. Thus, this equilibrium right on the border of the stability region. The solutions will oscillate and slowly approach the equilibrium.
The simulation below, starting with P0 = 10, shows this behavior.
