|
|
Math 122 - Calculus for Biology II |
|
|---|---|---|
|
|
San Diego State University -- This page last updated 14-Apr-03 |
|
This examples section includes examples of integrals using substitution, differential equations using this integration technique, a logistic growth problem, and an application
Solve the following integrals
| a. |
b.![]() |
Solution:
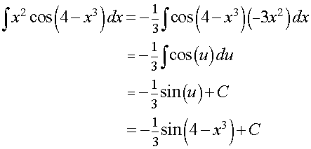
a. For this integral, we seek a substitution to simplify the cosine expression. A natural substitution is to take
u = 4 - x3
du = -3x2dx
Thus, the integral is solved as follows:

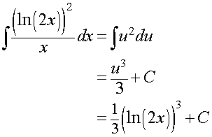
b. For the second integral we make the following substitution:
u = ln(2x)
du = dx/x
Thus, we find that

Consider the following differential equations.
a. ![]() |
b.![]() |
Solutions:
Both of these differential equations can be solved using the separation of variables technique that we learned in the previous section.
a. By separating variables in this differential equation we have the following.

For the integral on the right hand side of this equation we make the substitution u = t2 + 4, so du = 2t dt. It follows that

By exponentiating both sides, we find that

From the initial condition, y(0) = 8, it follows that
![]()
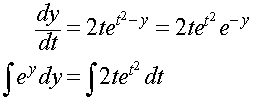
b. We can separate variables after rewriting the differential equation as follows.

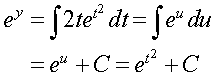
The integral on the right hand side uses the substitution u = t2, so du = 2t dt. It follows that

This provides an implicit solution to the differential equation. We take logarithms of both sides to solve for y(t) giving

From the initial condition, y(0) = 2 = ln(1 + C), so it follows that

Suppose that a population of animals satisfies the logistic growth equation
Find the general solution of this equation. Determine how long it takes for this population to double and how long it takes to reach half of the carrying capacity.
Solution:
We can simply look at the differential equation to see that the carrying capacity of this population of animals is 2000. Note that this carrying capacity can be found by solving the right hand side of the differential equation equal to zero. This is how equilibria are found for differential equations.
To solve the differential equation, we use the information from the main section of the lecture notes to separate variables, giving the following integral problems to solve.

The first integral uses the substitution u = P/2000, so du = dP/2000. Thus, we are solving

By exponentiating, this equation, then solving for P(t), we find

With the initial condition , P(0) = 50, it follows that

It remains to find when the population doubles and when it reaches 1000. Thus, we must solve P(t) = 100 and 1000.

Similarly, we have

Example of Lake Pollution with Seasonal Flow
Often the flow rate into a lake varies with the season. Suppose that a 200,000 m3 lake maintains a constant volume and is initially clean. A river flowing into the lake has 6 mg/m3 of a pesticide. Assume that the flow of the river has the sinusoidal form
f(t) = 100(2 - cos(0.0172t)),
where t is in days. Find the differential equation describing the concentration of the pesticide in the lake, then solve it. Graph the solution for 2 years.
Solution:
We start the solution by using the mass balance of pesticide entering the lake. The change in the amount of pesticide, A(t), equals the amount entering - the amount leaving. This is given by the equation.

If we divide this equation by the volume of the lake and use the information that c(t) = A(t)/200,000, then the differential equation for the concentration of pesticide in the lake becomes
This differential equation is separable, so we have

The first integral is easily solved with the substitution u = c - 6, so du = dc. It follows that

By exponentiating this implicit solution, using the initial condition (c(0) = 0), and letting 1/0.0172 = 58.14, we find that the solution becomes

Below we graph the solution for 2 years or 730 days.
